Anton Carpinschi
Dan Andrei Ilas

Key Words: comparative politics, constitutionalism,
institutionalism, political crisis, mechanisms of crisis,
democratic theory, index of institutional potentiality,
theory of crisis

Anton Carpinschi
Prof., Ph.D., “Al. I. Cuza”
University, Iasi, Romania.
Author of the books: Contemporary Political
Doctrines. A Typological Synthesis ( 1991);
Orientari ideologice actuale.
Tendinte si semnificatii, (1991);
Doctrine politice contemporane.
Tipologii, dinamica, perspective (1992);
Deschidere si sens în gândirea politica, (1995);
Stiinta politicului. Tratat, vol. I (1998).

Dan Andrei Ilas
Assist. Lect., “Al. I. Cuza”
University, Iasi, Romania
E-mail: andan_i@yahoo.com

Criza politica si constructia institutionala democratica.
O analiza comparata  a douazeci si opt de constitutii
Political Crisis and the Democratic Institutional Construction.
A Compared Analysis of twenty-eight Constitutions

previous

Abstract:This article examines the political crisis that has appeared in the constitutions of 28 democratic states. The units of analysis have been chosen using the criterion of a modern and formal constitution. Using the systemic paradigm, the article proposes an institutionalist approach. After explaining the role of the main institutions, the article focuses itself on identifying the mechanisms of crisis as they are provided by constitutions (i.e. the vote of no-confidence, the motion of censure, the vacancy etc.). We have observed that the correlation between the institutional arrangement and the number of crisis mechanisms is not very strong one. The article concludes that in order to explain the reaction of a political system towards a crisis situation it is not sufficient to draw on the constitution, an understanding of the political tradition and of the recent political experiences being absolutely necessary.

1. Criza politica īn constructia constitutionala democratica

Oricare ar fi tipul de inferenta, descriptiv sau cauzal[1], ales pentru o cercetare a socialului, prima sarcina a cercetatorului rezida īn conturarea unui cadru teoretic. Acesta nu trebuie sa se reduca la simple trimiteri spre una sau mai multe teorii. Alegatia se justifica, pe de o parte, prin fragmentarea si nuantarea teoriilor din stiintele sociale si, pe de alta parte, prin gradul de complexitate ridicat al acestora. Īn acest context, apreciem ca o abordare sistemica a crizei politice raspunde determinantelor precizate si poate oferi o explicatie comprehensiva cu valente integratoare. Lansata la mijlocul secolului al XX-lea si, beneficiind de un larg potential de modelare, paradigma sistemica a cunoscut

JSRI • No.7 Spring 2004 p. 54

rafinari continue prin aportul diverselor zone ale cunoasterii. Dezvoltata īn ultimele doua decenii īn directia modelarii organizarilor complexe, a jocului ordine-dezordine, a turbulentei īn relatiile politice, paradigma sistemica poate oferi cadrul analitic pentru o teorie a crizei politice.

Democratia se arata a fi un regim politic failibil īntrucīt, īn epoca moderna, un mare numar de state lansate la un anume moment dat pe orbita democratica s-au dovedit incapabile sa-si mentina altitudinea. Republica de la Weimar, Romīnia interbelica, diferitele state sud-americane sunt cīteva dintre numeroasele exemple. Alte state, īntīmpinīnd diverse obstacole, s-au vazut nevoite sa-si modifice, definitiv sau temporar, tipul de democratie practicat. Cea de a patra republica franceza ce adoptase o democratie cu un pronuntat caracter parlamentar este īnlocuita, īn 1958, de un sistem prezindential. Sistemul politic britanic a fost modificat temporar īn perioada critica a celui de-al doilea razboi mondial prin crearea unui cabinet bazat pe coalitia dintre cele doua mari partide. Toate acestea justifica miza prezentului demers: o radiografie a modului īn care democratiile actuale īnteleg sa raspunda, printr-o anume constructie constitutionala, eventualelor amenintari la adresa stabilitatii si durabilitatii lor.

Īnsa, pentru a īntelege forma pe care o iau constitutiile statelor democratice este necesar, mai īntīi, a face cīteva precizari privind substanta regimului politic democrat.

Ca obiect de studiu, democratia admite aplicarea unei multitudini de paradigme la toate nivelurile: ontologic, metodologic si epistemologic. Adeseori, īn interiorul aceleasi paradigme, exista un numar ridicat de variante la dispozitia cercetatorului. Optiunea pentru una sau alta dintre aceste tine de unghiul de  abordare si de problema specifica aflata īn atentie. Avīnd īn vedere scopul propus, pare potrivit a contura democratia prin identificarea tensiunilor[2] ce se regasesc atīt īn fundamentarea structuro-functionala - tensiuni statice, cīt si īn dinamica starilor – tensiuni dinamice

Astfel, pe līnga functia de coordonare[3], sistemului politic democratic īndeplineste, tot ca functie principala, si pe aceea de reprezentare a intereselor tuturor . Cele doua functii intra īn opozitia clasica dintr putere si reprezentare. Din aceasta dialectica se nasc cele doua modele ale democratiei asa cum le-a identificat Arend Lijphart: modelul majoritarist (de tip Westminster) si modelul consensualist[4]. Īn timp ce modelul majoritarist pune accent pe concentrarea puterii prin reprezentarea celor mai multi dintre cetatenii unei democratii, īn modelul consensualist accentul cade pe ridicarea gradului de reprezentare prin īmpartirea puterii. Tensiunea "concentrare a puterii versus cresterea gradului de reprezentare" este, īnsa, prezenta īn ambele modele chiar daca īn forme diferite[5].

Din perspectiva structurii, sa observam, mai īntīi, ca democratia poate fi caracterizata prin neīncrederea publica īn capacitatea sistemului politic de a-si stapīni excesele. Spre deosebire, īn monarhiile absolutiste si statele totalitare īncrederea īn actiunile sistemului politic este maxima nefiind justificate supravegherea si controlul. De aceea, īn structura intima a democratiilor

JSRI • No.7 Spring 2004 p. 55

trebuie sa regasim modalitati interne si externe de ponderare si delimitare actionala. Astfel, analizarea pīrghiilor si contraponderilor (checks and balances) existente īntre diversele institutii politice reprezinta un loc comun īn conturarea oricarei democratii. Pe de alta parte, sistemele sociale coordonate de politic (E.g. sistemul societatii civile, sistemul mass-media, sistemul economic etc.) exercita, la rīndul lor, un control continuu asupra acestuia. Toate acestea implica o ridicare a complexitatii[6] sistemului politic democrat.

Īnsa, cu cīt un sistem este mai complex cu atīt creste probabilitatea ca, īn fata imprevizibilului, sa se dovedeasca incapabil de un raspuns suficient de rapid. Īn situatii similare, sistemele de un nivel de complexitate mai scazut au avantajul de a produce un raspuns - chiar daca acesta nu este unul pe deplin adecvat – si sa-si asigure, astfel, supravietuirea. De aici, deducem ca sistemele democratice baleiaza īntre o tendinta naturala de crestere a complexitatii si necesitatea asigurarii unor raspunsuri  prompte.  Aceasta tensiune complexitate versus celeritate este, la rīndul sau, definitorie pentru structura democratica.

Tensiunile dinamicii starilor pot fi relevate prin analizarea relatiilor dintre gradul de deschidere, nivelul fluxului informational-energetic, si mobilitatea partilor componente ( actori politici).

Democratiile sunt adesea caracterizate drept societati deschise. Din perspectiva sistemica, comparativ cu alte tipuri de regimuri politice, democratia prezinta un grad de deschidere mult mai ridicat deoarece, postulīnd politica drept bun public, permite tuturor participarea. Īn particular, sistemul politic poate fi "accesat" de orice cetatean fie direct prin implicarea ca actor politic, fie indirect prin intermediul informarii, discursului ori discutiilor desfasurate īn varii spatii publice.

Pe de alta parte, societatile contemporane, prezinta nivele ale fluxului informational-energetic mult mai ridicate decīt īn orice epoca anterioara datorita dezvoltarilor tehnice si tehnologice din secolul al XX-lea. Pentru cazul democratiilor, datorita deschiderii naturale a acestora, cantitatea de informatie si energie recunoscuta si procesata tinde sa devina enorma[7]. Conchidem ca, īn democratii, relatia dintre deschidere si flux informational-energetic este una tensionata īntrucīt deschiderea cu un grad a sistemului poate provoca o crestere exponentiala a nivelului fluxului informational-energetic.

Orice crestere a nivelului fluxului informational-energetic pune īn scena mobilitatea partilor componente, respectiv capacitatea de  adaptarea continua si rapida la noi realitati societale. Cu toate acestea, deseori actorii si institutiile politice dau dovada de o mobilitate scazuta, din diverse motive (E.g. teama de a pierde electoratul, nerecunoasterea necesitatii de a modifica, inertia, atasamentul fata de o ideologie etc.). Consideram ca o alta tensiune sta īn relatia dintre fluxul informational-energetic si mobilitatea partilor īntrucīt actorii politici nu se arata īntotdeauna dispusi sa opereze schimbari.

De asemenea, poate fi usor sesizata tensiunea dintre mobilitatea actorilor politici si deschiderea sistemului. Lipsa de mobilitate ce conduce la refuzarea unei

JSRI • No.7 Spring 2004 p. 56

necesare deschideri[8] sau operarea unei deschiderii pe care sistemul nu o poate gestiona sunt exemplele ce pun īn evidenta prezenta acestei tensiuni.

Conchidem ca tensiunile statice si dinamice, identificate mai sus atīt la nivelul proiectarii cīt si al evolutiei unui sistem politic democrat, ar trebui sa se regaseasca in orice secventa a unei democratii, inclusiv, īn constitutie. Astfel, atīt institutiile constitutionale democratice cīt si raporturile dintre ele sunt modelate de aceste tensiuni, dupa cum tot ele conduc la aparitia crizelor[9]. Īn consecinta, a analiza criza politica īn constructia constitutionala democratica īnseamna, pe de o parte, a cerceta institutiile constitutionale si atributiile acestora din perspectiva tensiunilor creatoare si, pe de alta parte,  a reliefa modalitatile de detensionare – mecanisme ale depasirii crizei. Īntr-un sistem politic putem regasi, deopotriva, mecanisme informale si mecanisme formale de depasire a crizei. Prin mecanisme informale īntelegem acele procese de detensionare ce apar ca urmare a vointei actorilor politici. Mentionam ca unele procese se bucura de repetabilitate si stabilitate īn timp, iar altele sunt unice – expresie a unor situatii exceptionale ce necesita rezolvari neuzuale. Prin mecanisme formale de depasire a crizei – pe care le vom numi īn continuare mecanisme ale crizei -īntelegem acele procese de detensionare ce sunt īnscrise īntr-un act normativ. Prezenta cercetare se concentreaza numai asupra mecanismelor formale incluse īn constitutiile statelor. Scopul nostru este de a releva cīt de sensibile sunt constitutiile fata de diversele crize politice si de a cerceta daca este o corelatie īntre tipul de aranjament institutional si numarul de mecanisme ale crizei. Pentru aceasta este necesar, mai īntīi, sa precizam care sunt institutiile supuse studiului  si care sunt mecanismele crizei prezente īn constitutii.

La baza constructiei constitutionale democratice a fost asezat, īnca din secolul al XVIII-lea, principiul separatiei puterilor īn stat. Īn baza acestuia, exercitarea puterii este īmpartita īntre mai mult institutii īn asa fel īncīt "puterea sa fie īnfrīnata de putere"[10]. Aceasta segregare a facut ca o institutie – Parlamentul - sa detina ca obiect al activitatii adoptarea legilor, o alta – Guvernul – sa fie īnsarcinata sa le puna īn aplicare, īn timp ce o a treia – Instanta judecatoreasca - sa poata sanctiona nerespectarea legilor. Este necesar sa adaugam imediat ca īntre Parlament si Guvern, pe de o parte, si instanta de judecata, pe de alta parte exista diferente profunde. Despre acest lucru ne atentioneaza Montesquieu care scrie ca īntr-un fel puterea judecatoreasca nu este o putere[11].  Si aceasta pentru ca Parlamentul si Guvernul sunt institutii eminamente politice, īn timp ce o instanta judecatoreasca e o institutie a-politica. Cele doua institutii politice īsi centreaza actionalitatea asupra prezentului si al viitorului, īn vreme ce o instanta re-actioneaza cu privire la evenimente deja desfasurate. Parlamentul si Guvernul se bucura de un grad de libertate decizionala ridicata pe care  instanta, tinuta de lege sau de precedent judiciar, nu o are[12]

Prin urmare, a fost firesc ca evolutia democratiilor moderne sa graviteze īn jurul raporturilor Parlament-Guvern. Īnainte de a explicita dezvoltarea acestor

JSRI • No.7 Spring 2004 p. 57

raporturi se impun cīteva precizari privitoare la nasterea democratiei moderne. Drumul care a condus la conceptualizarea si implementarea acestei formule de regim politic a fost unul sinuos. Astfel, unul dintre cei mai importanti filosofi ai Antichitatii, Aristotel, considera ca democratia nu este decīt o "pervertire" a bunei guvernari. Īn Politica[13], Stagiritul ofera o analiza succinta si precisa a democratiei asa cum era īnteleasa īn perioada antica. Din aceasta descriere, retinem alaturi de David Held[14], conditiile pe care trebuie sa le īndeplineasca un stat pentru a adopta acest regim politic: oras-stat mic cu terenuri agricole īn vecinatate; economie bazata pe munca sclavilor, care asigura timp liber pentru cetateni; serviciul casnic, adica munca femeilor, care da posibilitatea barbatilor sa se ocupe de īndatoririle publice; cetatenie restrīnsa la un numar relativ mic de persoane.  Īn ciuda idealului generos al egalitatii politice, democratia clasica a fost considerata, vreme īndelungata, potrivita doar pentru statele mici, statele-cetate. Īnsa, diminuarea rolului monarhului si augmentarea celui jucat de starile generale  au impus, treptat, conturarea modelului democratiei reprezentative. Acest tip preia principiul deplinei egalitati politice, dar īl face posibil prin intermediul mandatarii - cetatenii participa la guvernare prin intermediul reprezentantilor.

Astfel, institutia centrala si fara de care nu e posibila democratia moderna este Parlamentul[15]. Acestea pot fi unicamerale si bicamerale. Īn principiu, statele unitare ar trebui sa detina Parlamente unicamerale, īn timp ce statele federale ar trebui sa practice bicameralismul[16]. Exista īnsa si exceptii datorate unor diversi factori. De exemplu, īn Parlamentul bicameral al Marii Britanii Camera Lorzilor, mentinuta datorita traditiei, joaca un rol minor. De altfel, Parlamentul Marii Britanii este considerat un "unicameralism bicameral". 

Daca Parlamentul este piatra de bolta a constructiei democratice, atunci Guvernul[17] - institutia abilitata sa puna īn executare legile – poate fi īnteles ca un instrument de lucru, "mīna lunga" a acestuia. Prezenta unei institutii precum Guvernul, organ colegial[18] construit pe principiul raspunderii solidare si de dimensiuni mult mai reduse decīt Parlamentul, pare fireasca din perspectiva asigurarii unitatii si rapiditatii de actiune īn implementarea legilor. Pozitia sa este clar precizata: īn timp ce Parlamentul ales, direct sau indirect, de cetatenii cu drept de vot, se bucura de legitimitate deplina, Guvernul, īnvestit de Parlament, ramīne un simplu executant.

Cu acest model pare sa fi īnceput aventura moderna a democratiei. De aceea, īn a doua jumatate a secolului al XIX-lea si prima jumatate a secolului al XX-lea, Parlamentele au uzat de legitimitatea lor sporita si au creat o presiune puternica asupra guvernelor. Este perioada lungilor dezbateri parlamentare bazate pe o revigorare a retoricii antice. Excesul de parlamentarism a dus la o instabilitate ridicata si o viata scurta a Guvernelor, complexitatea sistemelor crescīnd īn dauna capacitatii lor de a raspunde prompt la provocarile mediului social[19].

Pentru a contracara fenomenul, īn Constitutiile statelor democratice din perioada interbelica si, mai ales, dupa al doilea razboi mondial, au aparut mecanisme

JSRI • No.7 Spring 2004 p. 58

care au rationalizat parlamentarismul[20] īn scopul de a creste puterea decizionala a Guvernului. Īnsa, aceasta solutie putea conduce si la efecte nedorite īntrucīt Guvernul era situat īntr-o pozitie favorabila abuzului de putere. Pentru a īnlatura noul neajuns, forta Guvernului a fost treptat redusa, pe de o parte prin desprinderea unor institutii, pe de alta parte, prin crearea unor institutii menite sa-i controleze activitatea.

Īntre institutiile desprinse din Guvern pot fi mentionate: Reprezentantul statului (īn anumite state), Banca Centrala (Nationala), Administratia locala, iar ca institutii menite sa sanctioneze activitatea Guvernului: Avocatul Poporului si Curtea Constitutionala (Curtea Suprema). Vom analiza aceste institutii preponderent din perspectiva rolului jucat īn reamenajarea sistemelor politice democratice de dupa 1945, reliefīnd aspectele legate de “minarea” fortei Executivului.

Institutia care ridica cele mai importante dificultati īn argumentarea teoretica este cea a Reprezentantului statului[21]. Si aceasta deoarece rolul sau – de reprezentare a statului īn relatiile cu alte state - este mai usor de justificat prin referiri la traditie si istorie decīt la teoria democratica[22].

Pentru conturarea unei tipologii a acestei institutii, putem porni de la doua modele diametral opuse: unul de inspiratie britanica si un altul de inspiratie nord-americana. Urmare a unui lung proces de democratizare, īn Marea Britanie monarhul a ajuns sa joace un rol eminamente simbolic fiindu-i distribuit un rol minor īn sistemul politic. El se bucura de o legitimitate scazuta īntrucīt ocupa functia respectiva pe criterii ereditare si nu este īnvestit cu atributii executive. Modelul poate fi regasit īn statele din Commonwealth precum si in unele state europene. Asimilam acestui model si sistemul democratic īn care, īn loc de monarh exista un presedinte care este ales de Parlament si care nu detine atributii executive importante. Acest tip de regim este denumit, īn mod curent, regim parlamentar.

La polul opus se situeaza modelul american īn care functia de reprezentare a statului si cea de prim-ministru sunt detinute de presedinte[23]. Acesta se bucura de o legitimitate deplina deoarece este ales prin votul īntregului popor. Acest model a fost exportat īn unele tari sud-americane: Columbia, Venezuela si Costa Rica. Acest tip de regim este regimul prezidential.

Īntre cele doua modele poate fi identificat un model hibrid īn care presedintele are unele atributii  executive si, mai important, o legitimitate ridicata datorata alegerii sale de catre īntregul popor. Īn acest model, presedintele poate fi vazut ca o contrapondere la Guvern mai ales īn situatia īn care nu are aceeasi orientare politica cu cea a majoritatii.  Desi, de jure, presedintele īn acest model - regimul semi-prezidential - are atributii de guvernare ce-l propulseaza īn calitatea sui generis de membru al Cabinetului, īn situatia anvizajata, el iese de facto din Guvern prin neparticipare la decizia politica si devine un filtru al activitatii guvernamentale. Īn Franta, spre exemplu, aceasta situatie se numeste coabitare si s-a intīmplat de cīteva ori[24].

Banca Centrala (Nationala) a devenit independenta ca o consecinta a globalizarii relatiilor economice, pe de o parte, si pe de alta parte, a integrarii statelor īn

JSRI • No.7 Spring 2004 p. 59

organizatii financiare supra-statale. De exemplu, Bancile Nationale ale statelor din Uniunea Europeana fac parte din Sistemul European al Bancilor Centrale ce are ca principal obiectiv “mentinerea stabilitatii preturilor”[25]. Realizarea obiectivului poate stopa anumite actiuni inflationiste cu substrat politic ale Guvernului cum ar fi acelea din anii electorali. Rolul important jucat de Banca Nationala īl determina pe Arend Lijphart sa o includa ca variabila a cercetarii efectuate la sfīrsitul anilor ’90 ( desi nu o inclusese īn analiza, avīnd acelasi subiect, de la mijlocul anilor ‘80[26])  constatīnd ca: “A oferi bancilor centrale independenta este īnca o modalitate de īmpartire a puterii si se īncadreaza īn setul de caracteristici ale puterii īmpartite [...]”[27].

Tot īn subordinea Guvernului s-au aflat si organele administratiei locale. Tensiunea dintre necesitatea de a rezolva cīt mai repede o problema aparuta si drumul anevoios al actelor a favorizat aparitia himerei birocratice. De aici s-a ajuns la solutia descentralizarii serviciilor publice, desprinderii de autoritatea centrala, apropierii de contribuabil si aproprierii cetateanului. Reprezentīnd interesele comunitarilor, administratia locala a devenit o structura de incomodare a initiativelor Guvernului. Autonomizarea serviciilor publice este un alt pas de desprindere fata de administratia public centrala a unor institutii, desi acestea ramīn, īn continuare, controlate de reprezentanti teritoriali –prefectii - ai acestuia.

Institutia Avocatului Poporului (Ombudsman) are atributii īn exercitarea unui control asupra actelor de guvernamīnt. A aparut īn Suedia la īnceputul secolului al XIX-lea, dar face cariera abia dupa al doilea razboi mondial cīnd o suma de state adopta, pe rīnd, aceasta institutie[28]. Ombudsmanul trebuie sa apere spiritul legilor si sa protejeze drepturile si libertatile individului. Patronat de Parlament, Avocatul Poporului are drept scop urmarirea actelor Puterii privitoare la promovarea si protejarea drepturilor individului si, prin aceasta, limiteaza libertatea de actiune a Guvernului.

Curtea Constitutionala a aparut īntīia data īn Austria si Cehoslovacia īn 1920, dar principiul pe care se bazeaza - controlul constitutionalitatii legilor a fost conturat īntr-o celebra decizie a Curtii Supreme Americane din 1803. Īn cauza Marbury vs. Madison, Curtea Suprema a Statelor Unite ale Americii a statuat ca   “fara īndoiala, cei care au elaborat Constitutii scrise le-au conceput ca reprezentīnd legea fundamentala si suprema a natiunii si, īn consecinta, principiul oricarei guvernari de acest fel trebuie sa fie ca o lege a Parlamentului contrara Constitutiei este nula”[29]. Astfel s-a nascut modelul american de control al constitutionalitatii legilor realizat de instantele judecatoresti[30]. Exercitarea controlului de catre o instanta oarecare prezinta doua incoveniente majore: riscul unui “guvernamīnt al judecatorilor” si posibilitatea aparitiei unei practici neunitare īn aplicarea legilor.  Pentru eliminarea neajunsurile a aparut “modelul european” ce presupune crearea unui organ special si specializat de “justitie constitutionala”. Existenta unei constitutii limiteaza la spiritul si litera ei activitatea Parlamentului, dar nu īntotdeauna Legislativul gaseste calea optimizarii raportului constitutie/ lege/ necesitate. Curtea

JSRI • No.7 Spring 2004 p. 60

Constitutionala sau Curtea Suprema amendeaza aceasta eroare prin declararea ca neconstitutionala a unei legi ori a unui segment de lege.

Dintre aceste institutii numai unele sunt, prin modul īn care iau nastere si prin atributiile pe care la au, institutii politice. Astfel, Parlamentul,  Guvernul,  Reprezentantul statului pot fi considerate institutii politice pline. Curtea Constitutionala (Curtea Suprema), Avocatul Poporului, Banca Centrala nu sunt institutii politice[31]. Administratia locala are, prin modul īn care ia se constituie, o dubla natura - politica si birocratica, dar atributiile sale cele mai importante nu sunt guvernate de principii si interese politice[32].

O cercetare completa privind criza politica ar trebui sa ia īn consideratie toate aceste parti ale sistemului politic prezente īn majoritatea democratiile contemporane. Din cauza ca ar necesita un volum de munca mult mai ridicat care  ar fi posibila numai īn urma unei colaborari internationale[33], am decis sa ne concentram cercetarea asupra institutiilor ce constituie nucleul tare al democratiilor moderne si care, de altfel, produc sau sunt implicate īn majoritatea crizelor politice. Aceste institutii sunt Parlamentul,  Guvernul,  Reprezentantul statului si Curtea Constitutionala (Curtea Suprema). De altfel, Avocatul Poporului, Banca Centrala si Administratia locala sunt, cel mai adesea, implicate īn crize ale output-ului politic - politicile publice.

Cele patru institutii identificate[34] pot fi implicate īn crize fie pentru ca reprezentantii lor nu mai doresc ori nu mai pot sa-si continue activitatea, fie pentru ca apar diferende īn privinta adoptarii unei pozitii comune fata de anumite legi, programe politice, probleme economice, sociale etc. Constitutiile nu releva īntotdeauna motivele aparitiei unei crize, dar stabilesc mecanisme care sa raspunda acestor situatii. De aceea, apropierea de criza politica institutionalizata constitutional nu poate fi facuta decīt studiind mecanismele de raspuns si aratīnd cauzele ce o pot provoca. Asupra acestor mecanisme ne vom concentra, īn continuare, atentia.

Vacanta unei functii importante precum cea de reprezentant al statului ori de prim-ministru poate fi provocata de demisia sau imposibilitatea de exercitarea a atributiilor. Demisia poate reprezenta un mecanism de iesire dintr-o criza politica ( E.g Demisia lui Richard Nixon fortata, īn 1974, de afacerea Watergate). Imposibilitatea de exercitare a atributiilor poate fi invocata pentru a acoperi un motiv determinat de o criza politica.

Presedintele sau Primul-ministru pot fi pusi sub acuzare (impeachment[35]) de catre Parlament pentru comiterea unor infractiuni grave. Acest mecanism īncearca sa raspunda unei crize provocate de actiunile contrare intereselor nationale comise de persoane īndeplinind astfel de functii.

Īn majoritatea statelor democratice, parlamentarii se bucura de imunitate īn sensul īn care nu pot fi urmariti penal decīt īn urma autorizarii prealabile venite din partea Camerei respective. Procedura de ridicare a imunitatii poate fi interpretata ca mecanism de iesire dintr-o criza politica atunci cīnd apar speculatii privind posibila implicare a unui om politic īntr-o infractiune de

JSRI • No.7 Spring 2004 p. 61

o anume gravitate. O astfel de situatie poate aparea deopotriva cu privire la un om politic apartinīnd unui partid de guvernamīnt cīt si cu privire la un reprezentant al opozitiei.

Comisiile de ancheta reprezinta un mijloc de control al activitatii altor institutii, īn special a Executivului. Ele apar, de multe ori, īn urma unei crize politice. Sesiunile extraordinare pot fi convocate pentru ca a aparut un eveniment neasteptat pe parcursul vacantei parlamentare, eveniment care poate sa fie si o criza politica (E.g. neīntelegeri īntre reprezentantii coalitiei aflate la guvernare).

Īn cazul Parlamentelor bicamerale este posibil ca īn procesul de adoptare a unei legi sa apara un  dezacord privind textul unei legi. Īn aceasta situatie, Constitutiile prevad o procedura, care include adesea o comisie mixta, prin care este depasita criza si se ajunge la o varianta acceptata de ambele Camere sau votata, de obicei cu o majoritate calificata, de Camera inferioara.

Pierderea īncrederii concretizata  īntr-o motiune de cenzura sau un vot de neīncredere reprezinta mecanisme care raspund unei crize politice generate de o deteriorare a raporturilor dintre Parlament si Guvern. Motiunea de cenzura este supusa unor conditii si restrictii. Astfel, aceasta trebuie sa fie semnata de un numar destul de ridicat de deputati si senatori. Mai mult, senatorii si deputatii ce au initiat o motiune de cenzura nu mai pot face acest lucru īn respectiva sesiune parlamentara. Unele state (E.g. Germania, Spania) prevad motiuni de cenzura constructive: odata cu motiunea de cenzura este propus sau chiar trebuie desemnat viitorul prim-ministru.

Angajarea raspunderii Guvernului cu privire la un program, declaratie politica sau lege permite acestuia sa verifice īn ce masura se mai bucura de raspunderea Parlamentului. Daca actul propus nu a fost votat, Guvernul va fi demis. Acest mecanism permite consolidarea relatiilor dintre Guvern si Parlament atunci cīnd a aparut o situatie critica.

Invocarea starii de urgenta legislativa de catre Guvern constituie o cale de a grabi Parlamentul sa voteze o lege. Dar poate fi folosita si ca un mijloc de a forta Parlamentul sa voteze o lege īn forma pe care o doreste Executivul.

Īn cazul īn care coalitia aflata la guvernare īsi pierde unitatea si o alta coalitie nu poate fi formata, iesirea din criza o reprezinta dizolvarea Parlamentului si organizarea de alegeri anticipate. De mentionat, ca dizolvarea poate reprezenta o manevra politica prin care cei aflati la putere īncearca sa evite erodarea provocata de perioada prea lunga de guvernare.

Sesizarea Curtii (Curtea Constitutionala sau Curtea Suprema) de catre Guvern, de un grup de parlamentari sau de Presedinte survine atunci cīnd se considera ca o lege este neconstitutionala. Practica arata ca īn spatele acestei sesizari ce urmareste, aparent, un bine public se ascunde frecvent o criza. Cei ce sesizeaza Curtea sunt parlamentari ai opozitiei sau Presedintele – daca are o coloratura politica diferita de cea a coalitiei sau partidului aflat la guvernare.

JSRI • No.7 Spring 2004 p. 62

Delegarea legislativa extraordinara acopera situatia de vid legislativ īn care Guvernul considera ca se afla īntr-o situatie speciala si poate promova un act cu valoare de lege. Lasīnd la o parte n posibilitatea ca acest fapt sa se īntīmple ca urmare a unui vid real putem sa luam īn consideratie posibilitatea ca Guvernul sa īncerce sa oblige Parlamentul: īn momentul īn care un act cu valoare de lege a intrat īn vigoare si a produs efecte pentru o perioada de timp, modificarea sa īn mod substantial poate provoca mai mult rau.

Trimiterea legii īn Parlament spre reexaminare de catre Presedinte reprezinta un alt mecanism de depasire a unei crize politice.  Īn acest caz este vorba de o diferenta privind modul īn care ar trebui sa arate o lege īntre Parlament si Presedinte.

Mentionam ca "īnghetarea", īn diferite trepte, a sistemului politic determinata de starea de urgenta, starea exceptionala si starea de asediu nu poate fi considerata un mecanism de raspuns la o criza politica. Prelungirea mandatului Guvernului si a Parlamentului, actiunile exceptionale ale Guvernului, activarea "celulei de criza" (precum Consiliul de Stat sau Consiliul Superior de Aparare a Tarii) sunt raspunsuri firesti ale unui sistem confruntat cu un flux informational-energetic ridicat. Pe acest fond pot aparea mai usor crize politice deoarece sistemul devine mai instabil si opozantii puterii īncearca sa profite. Īntr-o astfel de ipoteza devin incidente mecanismele pe care le-am descris anterior. 

Ne propunem, in continuare, “testarea” conceptului de criza politica, prin analiza comparata a celor 28 de constitutii avute in vedere. Ce ne vor spune, oare, constitutiile: eficienta si stabilitatea unui sistem constitutional se ating prin structuri simple sau prin structuri complexe, cu ajutorul mecanismelor formale sau al celor informale?

2. "Harta" crizei īn constitutiile a 28 de state

Pentru a realiza cercetarea comparativa a reglementarilor crizei politice īn constitutiile unor state democratice, sunt necesare cīteva precizari privind metodologia folosita. Plecīnd de la cercetarile lui Arend Lijphart asupra modelelor democratiei[36] si de la cei 20 de ani de practica democratica neīntrerupta recunoscuti drept criteriu pentru selectia unitatilor de observatie, noi ne-am fixat asupra 28 de constitutii. Īn cercetarea de fata prin constitutie īntelegem sensul formal (organic) al acesteia, si anume, de lege ce cuprinde "ansamblul regulilor, indiferent de obiectul lor, adoptate īn forme procedurale specifice, distincte, exclusive"[37].

Īn analiza prezenta nu au putut fi incluse toate cele 36 de tari studiate de Lijphart, din diferite motive. Unele state nu au o constitutie īn sens formal. Precizam, īnsa, ca aceste state au  o constitutie īn sens material, adica o suma de prevederi scrise sau cutumiare ce se regasesc īn diverse legi. Īntrucīt, de multe ori, cunoasterea exacta a continutului acestor constitutii ridica dificultati chiar si specialistilor din tarile respective, am considerat ca, pentru acuratetea cercetarii este necesar sa excludem aceste state din analiza. Īn situatia mentionata se afla:

JSRI • No.7 Spring 2004 p. 63

Regatul Unit, Israel si Noua Zeelanda. Constitutiile altor state sunt foarte vechi si, desi au fost amendate sau modificate, nu se armonizeaza cu teoria separatiei suple si a colaborarii  puterilor. Este cazul Statelor Unite ale Americii (1787), al Norvegiei (1814) si al Canadei[38] (1867), ale caror constructii institutionale au ramas neschimbate. Spre exemplu, īn ceea ce priveste constitutia americana, unele amendamente ulterioare au avut drept obiect institutiile, dar schimbarile produse nu au fost de substanta[39]. Cu mult mai semnificative sunt modificarile produse la nivelul practicilor politice, astfel īncīt textul Constitutiei SUA ne poate spune foarte putin despre ceea ce se petrece īn sistemul insitutional al acestui stat.

Īn ciuda eforturilor depuse, constitutiile unor state, Papua Noua Guinee si Botswana, nu au putut fi gasite.

Īn urma acestor precizari, unitatile de observatie sunt constituite din urmatoarele state: Austria, Australia, Bahamas, Barbados, Belgia, Columbia, Costa Rica, Danemarca, Elvetia, Finlanda, Franta, Germania, Grecia, India, Irlanda, Islanda, Italia, Jamaica, Japonia, Luxemburg, Malta, Mauritius, Olanda, Portugalia, Spania, Suedia, Trinidad-Tobago, Venezuela.

Pentru consultarea constitutiilor acestor state am accesat siturile oficiale ale guvernelor sau ale Parlamentelor. De asemenea, am consultat situri ale unor universitati prestigioase care au construit  baze de date ce includ constitutii si traduceri ale acestora[40].

O problema cu care se confrunta o cercetare comparativa, din orice domeniu, este aceea a limbii si a limbajului. Īn acest caz, aducerea la numitorul comun s-a realizat prin intermediul limbii engleze datorita mai multor motive. Frecventa de utilizare si raportare la limba engleza atīt īn dreptul international public cīt si īn relatiile internationale fac din aceasta o lingua franca. De asemenea, o serie de state studiate au drept limba oficiala engleza, iar cele mai multe situri oficiale cuprindeau o varianta si īn aceasta limba.

Īn ceea ce priveste limbajul, cercetarea s-a bucurat de atuul gradului destul de ridicat de formalizare de la nivelul institutiilor juridice din dreptul constitutional al statelor democratice.

Īn consecinta, construirea unor travelling concepts[41] a fost mai usoara. Operatiunea are īn vedere realizarea unei definiri echilibrate a unui concept care sa ia īn consideratie atīt precizia logica cīt si aplicabilitatea sa la spatii politice atīt de diferite. Conceptele construite teoretic, īn prima parte, au rezistat testului, dovedindu-se destul de flexibile īn raport cu fiecare constitutie cercetata.

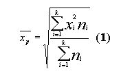
Pasul urmator īn analiza a constat īn identificarea institutiilor din fiecare constitutie. Īn urma acestei operatii am constatat ca unele state au aceleasi institutii, īnsa, pozitia constitutionala a acestora este sensibil diferita. Aceasta ne-a sugerat ca simpla identificare a institutiilor este insuficienta  si ca este necesar a construi o analiza care sa releve capacitatea de actiune si inter-actiune a acestora. Pentru aceasta am apelat la descrierea si acordarea de valori numerice institutiilor cercetate īn functie de doua dimensiuni: dimensiunea legitimitatii si dimensiunea atributiilor. Cele doua dimensiuni operationalizeaza conceptul denumit de noi, potentialitate

JSRI • No.7 Spring 2004 p. 64

institutionala. Prin potentialitate institutionala, īntelegem capacitatea actionala a unei institutii. Am considerat ca dimensiunea legitimitatii este cea care prevaleaza īntr-un sistem politic construit pe principiul forte al reprezentativitatii. O institutie puternic legitimata poate actiona politic dincolo de limita atributiilor recunoscute, īntrucīt poate pretinde ca actioneaza īn numele poporului. Spre exemplu, experienta comuna ne arata ca un presedinte puternic legitimat prin votul īntregului popor are tendinta de a juca un rol mult mai important decīt un presedinte ales de Parlament chiar daca acesta din urma ar avea atributii mai importante. Īn functie de cele doua dimensiuni, am construit urmatorul tabel:

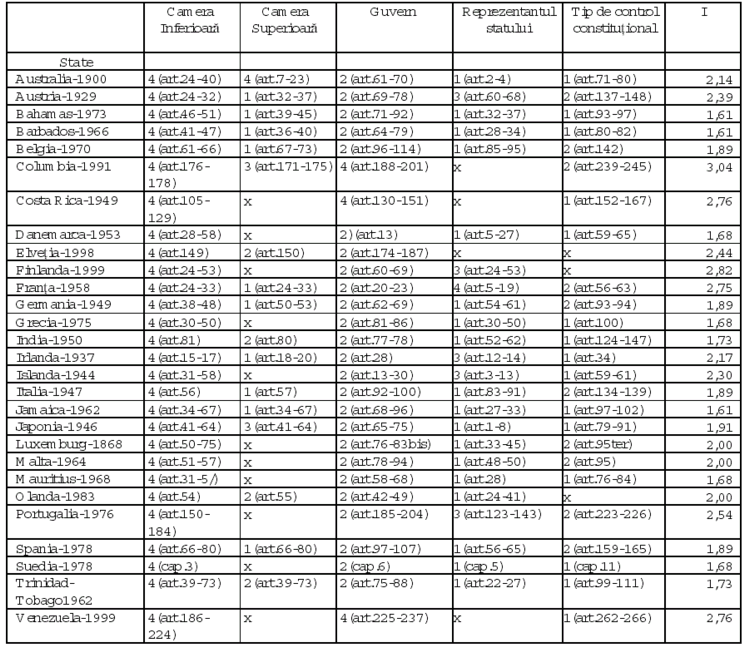
Tabelul 1

Īn continuare, pe baza acestui tabel, vom evalua cele cinci institutii pe care le-am ales pentru analiza comparata: Camera inferioara, Camera superioara, Executivul, Reprezentantul statului, Curtea care realizeaza controlul de constitutionalitate. Parlamentelor unicamerale si Camerelor inferioare le-a fost acordata valoarea 4 īntrucīt au atributia majora de adoptare a legilor si sunt deplin legitimate īn urma votului direct. Īn cazul Parlamentelor bicamerale, Camerele superioare au fost considerate cu legitimitate puternica īn cazul alegerii prin vot direct. Atributiile Camerei superioare au fost considerate importante īn functie de rolul jucat īn procesul adoptarii legilor, īn speta de posibilitatea acesteia de a se opune vointei Camerei inferioare.

Am apreciat ca Executivele au atributii importante, dar, nefiind alese prin vot direct, detin o legitimitate redusa. Exceptie fac regimurile prezidentiale unde legitimitatea este puternica deoarece Presedintele este ales prin vot direct. Īn Columbia, Venezuela si Costa Rica  functia de reprezentant al statului si de prim ministru sunt īndeplinite de Presedinte. Īn cazul acestor state, am considerat ca exista o singura institutie – Guvernul – ce īndeplineste prin liderul sau si functia de reprezentare a statului. Īn consecinta, Executivului i-a fost acordata valoarea 4. Franta constituie o exceptie la exceptie īntrucīt, desi presedintele este ales direct si conduce politica externa, nu īndeplineste si calitatea de prim-ministru.

Reprezentantii statului au legitimitate puternica daca sunt alesi direct. Īn cazul īn care sunt alesi de Parlament sau ocupa functia pe criterii ereditare, legitimitatea lor este scazuta. Majoritatea reprezentantilor statului au atributii reduse.

Membrii Curtilor ce realizeaza control de constitutionalitate sunt numiti si nu alesi, fie ca e vorba de Curti Constitutionale, fie ca e vorba de Curti Supreme. Am considerat ca un organism special constituit va tinde sa fie mai activ decīt unul care īndeplineste aceasta atributie alaturi de cea obisnuita de jurisdictie[42]. Īn consecinta, Curtilor Constitutionale le-a fost atribuita valoarea 2, īn timp ce Curtilor Supreme valoarea 1.      

In urma acestei operatiuni, fiecare institutie a obtinut o valoare. Īnsumarea valorilor, utilizarea mediei

JSRI • No.7 Spring 2004 p. 65

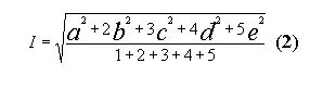
aritmetice simple sau a celei ponderate nu ne conduc la rezultate concludente. De aceea, este necesar sa folosim o formula de calcul care sa scoata īn evidenta diferentele semnificative dintre constructiile institutionale democratice. Dupa cum am precizat la īnceputul acestei sectiuni, proiectarea cercetarii noastre este centrata pe relevarea diferentelor dintre democratii. Aceasta ne sugereaza ca formula de calcul a indicelui constructiei institutionale trebuie astfel conceput, īncīt sa ajute la evidentierea specificitatii fiecarui stat. O formula matematica menita sa scoata īn evidenta diferentele este media patratica ponderata.       

FORMULA

Pentru a utiliza aceasta formula, trebuie sa atribuim coeficienti valorii fiecarei institutii. Īn consecinta, luīnd īn considerare ordinea logico-istorica a aparitiei lor, vom acorda Camerei inferioare coeficientul 1, Camerei superioare coeficientul 2, Guvernului coeficientul 3 Reprezentantului statului coeficientul 4, Curtii coeficientul 5. Pe baza acestor valori, utilizīnd media patratica ponderata, am realizat un indice al potentialitatii institutionale (I):

FORMULA (2)

unde a este valoarea conferita Camerei inferioare, b este valoarea conferita Camerei superioare, c este valoarea conferita Guvernului, d valoarea conferita Reprezentantului statului, e este valoarea conferita Curtii cu atributii de control al constitutionalitatii. Precizam ca, pentru cercetarea noastra, a are, īntotdeauna, valoarea 4, c are, cu exceptia regimurilor prezidentiale, valoarea 2, b si d pot lua valori īn multimea {0,1,2,3,4}, īn timp ce e poate lua valori īn multimea {0,1,2}[43]. Īntr-o prima acceptiune, indicele potentialitatii institutionale poate fi definit ca, media patratica ponderata a potentialelor institutiilor statului.

Dupa consultarea constitutiei fiecarui stat, acordarea de valori fiecarei institutii īn conformitate cu Tabelul 1 si calcularea indicelui constructiei institutionale, a fost construit urmatorul tabel:

Tabelul 2

Precizam ca īn Tabelul 2, īn coloana statelor, a fost īnscris, alaturat, anul īn care a fost adoptata constitutia la care facem referire. Īn coloanele institutiilor a fost trecuta valoarea asignata acestora conform Tabelului 1, īntre paranteze fiind consemnate articolele pe care ne-am sprijinit īn apreciere.  Absenta institutiilor a fost notata cu x. Ultima coloana cuprinde valoarea indicelui potentialitatii institutionale (I) obtinut conform formulei (2).

Privind Tabelul 2 se pot face cīteva observatii. Asa cum era de asteptat, avīnd īn vedere formula matematica utilizata, regimurile semi-prezidentiale si cele prezidentiale care au mai multe institutii cu valori mari, obtin scoruri mai ridicate decīt cele parlamentare. Regimurile parlamentare se regasesc īn intervalul de la

JSRI • No.7 Spring 2004 p. 66

1,61 la 2,14, īn timp ce regimurile semi-prezidentiale si

JSRI • No.7 Spring 2004 p. 67

prezidentiale se regasesc īn intervalul de la 2,17 la 3,04.  

Īntrucīt indicele potentialitatii institutionale este unul nou-creat, va trebui sa stabilim ce anume determina cresterea si descresterea valorilor sale. Observam ca valoarea minima (1,61) este obtinuta de state - Bahamas, Barbados si Jamaica – īn care toate cele cinci institutii  au valori minime. Daca privim īn tabel doar statele ce au cinci institutii, observam ca indicele acestora creste odata cu cresterea valorii acordate institutiilor. Astfel, Belgia, Germania, Italia si Spania obtin 1,89 deoarece sunt diferite de cele trei tari ce obtin indicele cel mai mic, prin prezenta Curtii Constitutionale īn locul Curtii Supreme. Īntre statele cu cinci insitutii cea mai mare valoare o obtine, īn mod firesc, Franta care are atīt un presedinte puternic cīt si un organ specializat de control al constitutionalitatii legilor. Conchidem ca indicele potentialitatii institutionale creste, ceteris paribus, odata cu cresterea atributiilor si legitimitatii institutiilor. Consideram ca aceasta concluzie este fireasca, indicele nefacīnd altceva decīt sa "aseze" regimurile politice pe axa regim parlamentar - regim prezidential īntr-o ordine crescatoare. 

Īn continuare, vom urmari īn tabel ce se īntīmpla cu indicele atunci cīnd numarul de institutii scade. Pentru aceasta, vom porni tot de la statele ce obtin valoarea minima - Bahamas, Barbados si Jamaica – si le vom compara cu statele ce au o structura ce difera doar prin absenta unei institutii. Astfel de state sunt Danemarca, Grecia, Mauritius si Suedia. Structura lor difera doar prin absenta Camerei Superioare. Observam ca scorul obtinut – 1,68 – este mai mare decīt cel al statelor de referinta (Bahamas, Barbados si Jamaica). Asemanator, Luxemburg difera de Germania si Italia prin absenta Camerei superioare. Desi are un numar mai mic de institutii, Luxemburg obtine un indice mai ridicat (2 fata de 1,89). Aceeasi situatie o īntīlnim si īn cazul a doua regimuri semi-prezidentiale. Finlanda si Portugalia au structuri asemanatoare. Diferenta este data de faptul ca Portugalia are o Curte Constitutionala, īn timp ce Finlanda nu are. Statul ce are doar trei institutii – Finlanda – obtine un scor mai ridicat 2,82, decīt statul ce are patru institutii – Portugalia – care obtine doar 2,54. 

Putem concluziona ca indicele potentialitatii institutionale poate sa creasca si īn cazul scaderii numarului de institutii. Daca prima concluzie privind cresterea indicelui potentialitatii institutionale a aparut ca fireasca, cea de a doua necesita unele clarificari. Partile unui sistem tind sa devina mai importante atunci cīnd sunt mai putine. Implicit, scaderea numarului de institutii conduce la o redistributie a rolurilor si, astfel, la o crestere a potentialitatii actionale a fiecareia.

Un indice mai mare indica o propensiune mai ridicata a institutiilor spre actional si, de aici, aparitia unui numar mai mare de divergente īntre institutii. Īn consecinta, ne asteptam ca o crestere a acestui indice sa fie īnsotita de un numar mai ridicat de mecanisme ale crizei. De aceea, pasul ulterior al cercetarii a constat īn identificarea mecanismelor de criza din fiecare constitutie. Numarul total al acestora este īnscris īn penultima coloana a Tabelului 3. Pentru a obtine valori comparabile am īmpartit numarul total de mecanisme la numarul efectiv de institutii. Indicele astfel obtinut – indicele mecanismelor – a fost īnscris īn ultima coloana a Tabelului 3.

JSRI • No.7 Spring 2004 p. 68

Tabelul 3

JSRI • No.7 Spring 2004 p. 69

Legenda:

1 - vacanta functiei de Reprezentant al statului

2 - sesizarea Curtii la initiativa Reprezentantului statului cu privire la neconstitutionalitatea unei legi

3 - punerea sub acuzare a Reprezentantului statului

4 - trimiterea legii spre reexaminare

5 - vacanta functiei de Prim-Ministru

6 - sesizarea Curtii de catre Guvern cu privire la neconstitutionalitatea unei legi

7 - punerea sub acuzare a Primului-ministru

8 - angajarea raspunderii

9 - urgenta legislativa

10 - comisii de ancheta

11 - sesiuni extraordinare

12 - ridicarea imunitatii parlamentarilor cu acordul Camerei

13 - pierderea īncrederii

14 - sesizarea Curtii de catre parlamentari cu privire la neconstitutionalitatea unei legi

15 - dezacord īntre Camere pe un text de lege

16 - dizolvarea Paramentului

17 - delegare legislativa extraordinara

18 - altele

Cercetīnd Tabelul 3 se pot face cīteva observatii. Sunt putine statele care sa aiba un numar mare de mecanisme ale crizei: Franta -16, decīt Spania -13, Portugalia -13. Multe state (12) au sub 6 mecanisme ale crizei īnscrise īn Constitutie. Dintre acestea, majoritatea o reprezinta statele ce se īnscriu īn modelul majoritarist de inspiratie britanica. Tot aici se īnscriu si statele (Costa Rica, Venezuela, si, īntr-o masura mai mica, Columbia) ce au fost influentate de modelul american.  

Ne-am astepta ca tarile ce se īnscriu īn modelul consensualist, bazat pe cooperare si multipartidism, sa favorizeze introducerea unui numar mai mare de mecanisme.  Aceasta afirmatie nu este valabila īntrucīt suficient de multe state (Elvetia, Olanda, Danemarca, Islanda, Luxemburg) ce se īnscriu īn modelul consensualist nu o confirma.. Aceasta ne sugereaza ca exista doua modalitati prin care sistemul politic īntelege sa preīntīmpine criza: una ce se bazeaza pe capacitatea de negociere si compromis a actorilor politici –mecanisme informale si o a doua ce construieste un solid esafodaj constitutional de mecanisme ale crizei –mecanisme formale.

Privind indicele mecanismelor observam ca unele state cu regim parlamentar (Spania, Grecia) obtin indici mai ridicati decīt state cu regim prezidential (Costa Rica, Columbia, Venezuela).

Daca īn cazul indicelui potentialitatii institutionale am putut remarca o serie de regularitati, īn cazul indicelui mecanismelor observam ca acestea lipsesc. Aceasta ne sugereaza ca īntre cei doi indici nu exista o corelatie ridicata asa cum se poate observa din Figura 1:

Figura 1. "Harta" crizei īn constitutiile a 28 de state

Coeficientul de corelare este de 0,50 care este semnificativ din punct de vedere statistic la nivelul de 1 procent. Figura 1 prezinta o dispersie importanta, ceea

JSRI • No.7 Spring 2004 p. 70

ce arata ca si alti factori determina puternic numarul de mecanisme.

Dintre cazurile deviante – Finlanda, Franta, Grecia, Portugalia, Spania – cele mai multe sunt state ce au avut nefaste experiente democratice sau totalitare dupa al doilea razboi mondial. Aceasta sugereaza ca un element important īn introducerea mecanismelor crizei īn constitutii īl reprezinta si istoria recenta a spatiului politic respectiv.  De cealalta parte a liniei de regresie, regasim ca si cazuri deviante Australia a carei pozitie poate fi explicata prin vechimea constitutiei (1900) si Elvetia care, desi a adoptat o noua constitutie recent (1998), pastreaza, la nivel institutional, traditia de secol XIX.

Modelul predominant este cel al statelor cu regim parlamentar si cu numar redus de mecanisme ale crizei. Aceasta situatie se datoreaza, pe de o parte, vechilor democratiilor europene care se bazeaza pe stabilitatea sistemului politic si pe capacitatea acestuia de a gestiona si rezolva, informal, crizele. Pe de alta parte, fostele colonii ce au preluat modelul britanic si care au constitutii, īn buna masura, asemanatoare au ramas fidele traditiei mostenite.

Conchidem ca aceasta "harta" arata, odata īn plus, ca o Constitutie este o imagine a experientei si traditiei politice din statul respectiv si ca nu se poate vorbi de un model valabil oriunde si oricīnd.

JSRI • No.7 Spring 2004 p. 71

3. Spre o teorie a crizei ca metoda de cunoastere si dezvoltare societala

Secolul al XX-lea poate fi considerat unul exemplar din perspectiva numarului mare de crize si al efectelor globale produse de acestea īn toate domeniile. Iata numai cīteva exemple dintr-o lunga lista: Criza economica din 1929-1933, Criza Berlinului din 1948-1949, Criza Ciprului din anii '50-'60, Criza Suezului din 1956, Criza rachetelor cubaneze din 1962, Criza dolarului de la īnceputul anilor '70, Criza petrolului din 1973, Criza ostatecilor din Iran si Liban din anii '80, Criza determinata de crashul bursier din 1987, Criza Golfului din 1991, Criza economiilor asiatice din anii '90 etc.

Termenul de "criza" este, īn mod curent, asociat nu doar unor evenimente cu durata determinata īn timp, ci si unor fenomene trenante: criza petrolului, criza termica, criza claselor sociale, criza mediului etc.

De asemenea, o serie de termeni frecvent utilizati de mijloacele de comunicare īn masa induc, īntr-o masura sau alta, ideea de criza: antagonism, clivaj, conflict, coruptie, deficit, deficienta, diferenta, greva, minoritate, nationalism, opozitie, recesiune, tranzitie, segmentare, segregare, stres.

Ce semnificatie ar trebui sa acordam acestei abundente? Se poate concluziona ca suntem īn criza sau ca traim īntr-o lume a crizei?  Daca pornim pe filiera etimologica aflam, folosind dictionarul Larousse, ca īn greaca veche krisis īnsemna decizie. Astfel, putem schita o paradigma īn care accentul cade pe momentul alegerii, al gasirii si aplicarii unei solutii pentru problema aparuta. Īnsa, avīnd īn vedere experienta secolului recent īncheiat, criza nu este doar o metoda de raspuns la tensiunile aparute, ci si o metoda de cunoastere si dezvoltare societala. Astfel, dupa fiecare criza majora sistemele nationale sau internationale s-au modificat, fie recunoscīnd prezenta unor noi entitati īn spatiile societale proprii, fie īntelegīnd necesitatea unor modificari esentiale. Practic, dupa fiecare criza, mediul societal s-a īmbogatit si niciodata nu a mai putut fi adus īn situatia anterioara[44]. Acest lucru diferentiaza fenomenul de criza din secolul XX fata de cel din alte perioade istorice. Crizele pot fi identificate īn orice epoca istorica si, atunci ca si astazi, impuneau luarea unei decizii. Īnsa, obiectivul final era acela de reīntoarce la momentul initial, de restabilire a status quo –ului.

Evident, ne īntrebam de unde provine deosebirea. Un posibil raspuns ia īn consideratie lipsa unui model general-acceptat, lipsa datorata celeritatii progresului social. Trecerea de la societatile rigide, de tip victorian, la cele deschise, tolerante la diferenta, īnsotite de destructurarea claselor sociale traditionale au facut imposibile stabilitatea si continuitatea.

Istoria Statului si a teoriilor despre acesta, īn secolul al XX-lea, reflecta aceasta lipsa a modelului. Poate si de aceea statul totalitar īn diversele sale forme, de la cel facist pīna la cel comunist, a putut parea multor intelectuali de marca drept o solutie rezonabila. Abia caderea comunismului din ultimul deceniu al veacului

JSRI • No.7 Spring 2004 p. 72

produce ruperea definitiva a valului si triumful statului democratic.

Cu atīt mai mult devine necesara studierea statelor cu vechime neīntrerupta īn practica democratica din perspectiva modului īn care au īnteles sa reglementeze constitutional mecanisme de raspuns la criza.

Nu de putine ori se spune despre Constitutie, īntr-o abordare institutionalista, ca ocupa locul cel mai important īn ansamblul legislativ si ca stabileste regimul politic al unei tari. Īnsa, dintr-o perspectiva       neo-institutionalista, o constitutie reprezinta doar unul dintre elementele importante ce contribuie la conturarea ordinii juridice si a sistemului societal. Adeseori, intervin fenomene ce fac ca prevederile constitutionale sa fie futile. Astfel, Pierre Pactet observa[45] ca procedurile destinate evitarii instabilitatii guvernamentale s-au dovedit a fi destinate esecului. Īn constitutiile diverselor state, dupa primul razboi mondial si, mai ales, dupa cel de al doilea au fost introduse institutii precum motiunea de cenzura si votul de īncredere menite sa limiteze libertatea de actiune a Parlamentului. Aceste proceduri s-au aratat inutile, spune P.Pactet, fie pentru ca echilibrul a fost asigurat de sistemul de partide, fie pentru ca, īn ciuda prevederilor constitutionale, stabilitatea guvernamentala a fost erodata de fragmentarea multipartidica.

Aceste remarci merita, īnsa, nuantate. Este adevarat ca īn Germania, spre exemplu, stabilitatea sistemului de partide a jucat un rol important si ca motiunea de cenzura constructiva prevazuta de articolul 67 nu a fost folosita decīt īn anul 1982[46]. Īn acelasi timp, nu vom sti niciodata ce s-ar fi īntīmplat daca īn legea fundamentala a Germaniei nu ar fi fost prezent acel articol. Afirmatia are substanta daca luam īn consideratie atitudinea unui actor politic care constient de prevederile din Constitutie si de cerintele statului de drept īsi va construi strategia īn consecinta.

Observatia este importanta īntrucīt releva raportul dintre reglementarile constitutionale si sistemul politic. Este vorba de o dubla determinare, o dialectica īn care sistemul politic se construieste īn functie de constitutie, dupa cum constitutia ia forma pe care i-o da sistemul politic. Acestea fiind luate īn considerare, se poate spune ca īn constitutii regasim, īn buna masura, o forma de canonizare a politicului asa cum a fost sarjata de sistemul politic respectiv. Consecinta este una importanta si a fost, nu odata, iterata: nu exista constitutii care sa fie bune īn mod abstract, ci doar constitutii adecvate realitatilor societale. Ceea ce putem adauga īn urma acestui studiu este ca adecvarea priveste atīt configuratia institutionala cīt si mecanismele de criza.

Din perspectiva sistemica, se poate spune ca īntelegerea modului īn care se pregateste sistemul fata de o potentiala criza echivaleaza cu īntelegerea sistemului īnsusi.

JSRI • No.7 Spring 2004 p. 73

Bibliografie:

Carpinschi, Anton si Cristian Bocancea, Ştiinta politicului. Tratat, Editura Universitatii "Al.I.Cuza", Iasi, 1998

Carpinschi, Anton ,"Paradigma complexitatii si sistemul actiunii concrete" īn volumul colectiv Mentalitati si institutii, coordonat de Adrian Paul Iliescu, Editura Ars Docendi, Bucuresti 2002

King, Gary, Robert Keohane, Sidney Verba, Fundamentele cercetarii sociale, Editura Polirom, Iasi, 2000

Lijphart, Arend, Democratii. Modele de guvernare majoritara si consensuala īn douazeci si una de tari, Editura Sigma, Chisinau, 1999

Lijphart, Arend, Democratia īn societatile plurale, Editura Polirom, Iasi, 2002

Lijphart, Arend, Modele ale democratiei. Forme de guvernare si functionare īn treizeci si sase de tari, Editura Polirom, Iasi, 2000

Lijphart, Arend, Comparative Politics and the Comparative Method, īn "The American Political Science Review"

Pennings, Paul, Hans Keman si Jan Kleinnijenhuis, Doing Research in Political Science, SAGE Publications, 1999

Sartori, Giovanni, "Comparing, Miscomparing and the Comparative Method", īn Comparing Nations. Concepts, Strategies, Substance editat de Mattei Dogan si Ali Kazancigil, Blackwell, 1994

Vile, M.J.C. , Constitutionalism and the separation of powers, Liberty Fund, Indianapolis, 1998

Situri accesate:

http://confinder.richmond.edu/

http://www.lib.umich.edu/govdocs/forcons.html

http://www.findlaw.com/01topics/06constitutional/03forconst/

http://www.yale.edu/lawweb/avalon/usconst.htm

http://tcnbp.tripod.com/indexi.htm

Note:

[1] Gary King, Robert Keohane, Sidney Verba, Fundamentele cercetarii sociale, Editura Polirom Iasi, 2000, pp.21-23.

[2] Prin tensiune īntelegem divergenta vectoriala a doua sau mai multe fenomene

[3] Sistemele totalitare nu īndeplinesc decīt aceasta functie

[4] Arend Lijphart, Modele ale democratiei, Editura Polirom, Iasi, 2000

[5] Īntr-o democratie de tip Westminster se vor cauta metode de ridicare a gradului de reprezentativitate, īn timp ce īntr-una de tip consensualist se vor cauta metode de concentrare a puterii 

[6] Anton Carpinschi, "Paradigma complexitatii si sistemul actiunii concrete" studiu publicat īn volumul colectiv Mentalitati si institutii, coordonat de Adrian Paul Iliescu, Editura Ars Docendi, Bucuresti 2002, pp.319-338

[7] Drept exemplu, poate fi data implementarea Legii  accesului liber la informatii- 544/2001. Aceasta lege aduce o deschidere suplimentara a sistemului. Desi fireasca īntr-o democratie, aplicarea legii īntīmpina dificultati īntrucīt sistemul politic nu reuseste sa raspunda nivelului informational-energetic extrem de ridicat. Īn particular, reprezentantii Parlmentului Romīniei au afirmat ca nu au posibilitatea de a da raspuns tuturor cererilor īnaintate de ziaristi datorita numarului covīrsitor al acestora.

[8] Generalul Charles de Gaulle s-a aratat incapabil sa opereze o deschidere a sistemului īn sensul cerut de miscarile muncitoresti si studentesti din mai 1968

[9] Aparitia unei crize este posibila doar daca este depasita limita superioara a tensiunii

[10] Charles de Montesquieu, Spiritul Legilor, vol. I, Editura Stiintifica, Bucuresti, 1964, p.195

[11] idem,  p.198

[12] Nuantare: instantele sunt independente (nu raspund īn fata unei alte institutii), dar nu sunt libere fiind supuse ordinii juridice ce le īnvesteste; institutiile politice au libertate decizionala, dar nu se bucura de independenta (raspund īn fata altor institutii si a alegatorilor)

JSRI • No.7 Spring 2004 p. 74

[13] Aristotel, Politica, Editura Antet, 1999, pp.218-219                   

[14] David Held, Modele ale democratiei,  Editura Univers, p.47

[15] Poate purta diverse alte denumiri: Adunare Nasionala, Congres, Dieta

[16] Pentru rigoare, sa precizam ca Prima Camera, cea care asigura reprezentativitatea populara, este denumita Camera inferioara, īn timp ce a doua Camera, cea care include reprezentantii statelor federate, este denumita Camera superioara

[17] Aceasta institutie poate purta diverse denumiri: Guvern, Executiv, Consiliu de Ministri. Cel ce o conduce se numeste, de obicei, prim-ministru, dar se poate numi si presedinte ( Spania) ori cancelar (Germania, Austria)

[18] Exista si īn aceasta privinta exceptii (cel putin la nivel formal) – cf. Constitutiei SUA Executivul este reprezentat de Presedinte

[19] Drept exemplu poate fi invocata atitudinea Frantei din perioada de īnceput al celui de al doilea razboi mondial

[20] Asupra rationalizarii parlamentarismului vom reveni īn momentul discutarii mecanismelor

[21] Folosim aceasta formula si nu pe aceea uzuala īn limbajul diplomatic de Sef al statului īntrucīt aceste functii au, cel mai adesea, atributii de conducere limitate

[22] De exemplu, nimic nu opreste ca reprezentarea statului sa fie atributie a Primului-Ministru, unui membru al Parlamentului etc.

[23] Mai mult, conform Constitutiei SUA , Executivul este uni-personal fiind alcatuit din Presedinte. Īn fapt, presedintii SUA se bucura astazi de un aparat complex si numeros format din ministri (secretari de stat) si consilieri.

[24]  Īntre 1986-1988 are loc prima coabitare īntre un presedinte de stīnga –Franēois Mitterand si un prim-ministru de dreapta Jacques Chirac. Īntre 1993-1995 se petrece a doua coabitare presedinte–Franēois Mitterand  si primul-ministru gaullist  Édouard Balladur, īn timp ce a treia coabitare, 1997-2001, a avut ca presedinte pe Jacques Chirac si ca prim-ministru pe socialistul Lionel Jospin.

[25] Art. 2 al "Protocolului privind Statutul Sistemului European al Bancilor Centrale si al Bancii Centrale Europene" īn Documente de baza ale Comunitatii si Uniunii Europene, Editura Polirom, Iasi, 1999, p.191

[26] Lijphart, Arend, Democratii. Modele de guvernare majoritara si consensuala īn douazeci si una de tari, Editura Sigma, Chisinau, 1999

[27] Lijphart, Arend, Modele ale democratiei. Forme de guvernare si functionare īn treizeci si sase de tari, Editura Polirom, Iasi, 2000, p.217 

[28] Apare īn Finlanda īn 1919, īn Norvegia īn 1952, īn Danemarca īn 1954, R.F.Germania īn 1957, īn Marea Britanie īn 1967, īn Irlanda de Nord 1969, īn Franta īn 1973, īn Italia īn 1974, īn Portugalia īn 1975, īn Austria īn 1977, īn Spania īn 1981.

[29]Ovidiu Tinca, Constitutii si alte texte de drept public, Editura Imprimeriei de Vest, Oradea, 1997, p.702

[30] M.J.C. Vile, Constitutionalism and the separation of powers, Liberty Fund, Indianapolis, 1998; p.85

[31] Este adevarat ca atīt judecatorii de la Curtea Constitutionala, cīt si Avocatul Poporului ori guvernatorul Bancii Centrale sunt numiti,īn realitate, pe criterii politice. Īnsa, īn cele mai multe state, criteriile formale sunt bazate pe īndeplinirea unor conditii de merit si vechime īn activitate.

[32] Vezi "Carta europeana a autonomiei locale" adoptata de Consiliul Europei la Strasbourg, 15 octombrie 1985

[33] Unele institutii nu apar īn Constitutii si ar fi necesara consultarea minutioasa a unor legi interne.

[34] Acestea pot fi mai putine daca ne aflam, de exemplu, īn situatia unui regim prezidential sau mai multe daca este vorba de un Parlament bicameral

[35] Este ceea ce i s-a īntīmplat lui  William Jefferson Clinton, al 42-lea presedinte al Statelor Unite ale Americii, care a fost pus sub acuzare de Camera Reprezentantilor, pentru "perjury and obstruction of justice" (marturie mincinoasa si obstructionare a justitiei) īn decembrie 1998 īn legatura cu depozitia sa din cadrul

JSRI • No.7 Spring 2004 p. 75

unui proces civil. Senatul Statelor Unite l-a achitat, īnsa, īn februarie 1999. Acesta a fost al doilea presedinte supus procedurii de impeachment, dupa Andrew Johnson.

[36] Arend Lijphart, Modele ale democratiei. Forme de guvernare si functionare īn treizeci si sase de tari, Polirom, Iasi, 2000. Precizam ca aceasta cercetare a fost initial publicata īn anul 1999.

[37] Ion Deleanu, Drept constitutional si institutii politice, vol. II, Editura Fundatiei Chemarea, Iasi, 1996, p.59

[38] Desi actul din 1982 a adus modificari importante constitutiei canadiene,  aceasta nu se īnscrie īn limitele teoriei pe care se funamenteaza aceasta cercetare

[39] E.g. Amendamentul XII privitor la procedura de alegere a Presedintelui, Amendamentul XXII privitor la limitarea numarului de mandate, Amendamentul XXV privitor la decesul sau demisia Presedintelui

[41] Pentru problema "conceptelor calatoare" vezi Mattei Dogan si Dominique Pelassy, Cum sa comparam natiunile, Editura Alternative, Bucuresti, 1993,  pp.28-35

[42] Aceasta asumptie este una destul de buna daca luam īn consideratie rezultatele obtinute de Arend Lijphart cu privire la intensitatea controlului  constitutional vezi Arend Lijphart, op .cit. p.210, Tabelul 12.2

[43] Nu exista Curti Constitutionale sau Curti Supreme alese prin vot direct, deci acestea nu pot lua valorile legitimitatii puternice, adica 3 sau 4.

[44] E.g. S-a spus, adesea, ca dupa 11 septembrie 2001 lumea nu mai arata la fel.

[45] apud. Jean-Claude Masclet si Jean-Paul Valette, Droit constitutionnel et institutions politiques, Ed. Dalloz, 1997, p.125

[46] Guvernul Partidului Social Democrat condus H.Schmidt a fost abandonat de Partidul liberal care s-a asociat cu Partidul Democrat Crestin pentru a forma un guvern sub conducerea lui H.Kohl

JSRI • No.7 Spring 2004 p. 76

JSRI • No. 7/Spring 2004

previous